
■ 동시 연구에서 오메가-3 지방산은 유사한 효과가 없었습니다.
비타민 D는 in vitro와 자가면역질환 동물 모델에서 염증을 제한하지만 사람 임상 시험 또는 관찰 연구들에서 이득을 보여주지 못했습니다. 오메가-3 지방산 공급은 사람의 일부 자가면역질환에서 증상을 제한합니다. 그러나 이 보충제들 어떠한 것도 무작위 시험들에서 자가면역질환을 예방하기 위해 연구되지 않았습니다.
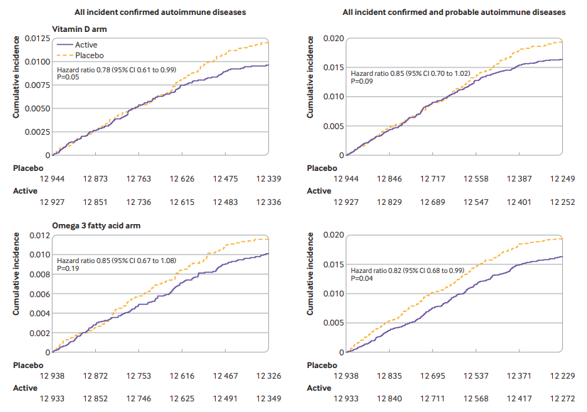
Placebo-controlled VITAL study (2018년)에서 50세 초과의 25,000명 성인들을 무작위 할당하여 5년 동안 비타민D (cholecalciferol; 2000 IU daily) 복용, 오메가-3 지방산 (1 g daily) 복용, 두 가지 모두 복용, 어떠한 것도 복용시키지 않았습니다. 어떠한 조치도 암 또는 심혈관질환 예방에 효과적이지 않았습니다. 이 연구의 사전 지정된 보조 분석에서, 연구자들은 이러한 개입이 새로운 자가면역질환에 미치는 영향을 평가했습니다 (연간 설문지의 자체 보고와 의료기록 검토에 의해 확인).
위약을 복용 중인 사람들보다 비타민D를 복용 중인 사람들이 사람들에서 자가면역질환이 덜 확인되었습니다 (123 vs. 155 patients). 그룹 간 차이는 통계적으로 거의 유의하지 않았습니다 (adjusted hazard ratio, 0.78; P=0.05). 시험의 마지막 3년에서 AHR은 0.61이었습니다. 새롭게 확인된 자가면역질환은 위약을 복용 중인 그룹보다 오메가-3 지방산을 복용 중인 그룹에서 다소 덜 일반적이었습니다 (130 and 148 patients; AHR, 0.85). 이 차이는 통계적으로 유의하지 않았습니다. 그러나 어느 것도 복용하지 않은 그룹과 비교하여 비타민D와 오메가-3 지방산 모두 복용하였던 사람들에서 자가면역질환 발생이 의미 있게 더 낮았습니다 (AHR, 0.69; P=0.03).
이 시험은 평균 위험이 있는 중년과 고령 남성에 제한되었습니다. NNT는 약 400이었으나 비타민D는 상대적으로 덜 비싸고 안전한 제제입니다. 저자들은 시간이 지남에 따라 추가 이득이 축적되는지 여부를 결정하기 위해 open-label extension study가 진행 중이라는 점에 주목합니다.
파일 첨부



Ref. NEJM Journal watch
BMJ 2022;376:e066452 | doi: 10.1136/bmj-2021-066452
'내분비내과 > 칼슘, 인, 부갑상선' 카테고리의 다른 글
| 일반 인구에서 비타민D 보충이 골절 이득을 보여 주지 못함 (0) | 2022.10.03 |
|---|---|
| 비타민 D 과다 복용 (투약) (0) | 2021.01.08 |
| 골다공증에서 칼슘 섭취, Calcium supplementation in osteoporosis (0) | 2020.07.26 |
| 비타민 D 보충제 [활성형보다는 비활성형, ergocalciferol 보충제보다는 cholecalciferol 보충제] (0) | 2020.07.26 |
| 비타민 D 합성 경로, Pathways of vitamin D synthesis (0) | 2020.07.11 |
