

Erythropoietin
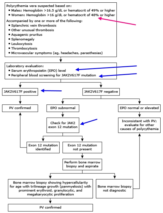
Polycythemia vera (PV) 환자들은 보통 낮은 혈청 erythropoietin (EPO) 농도를 갖습니다. 낮은 EPO 수치가 PV에 아주 특이적인 반면, 정상보다 높은 수치는 일반적이지 않고 secondary erythrocytosis를 시사하며 특이도 98 %입니다.
|
In two studies, for example, serum EPO levels in 42 patients with PV were compared with control subjects with other causes of polycythemia (eg, hypoxia). The sensitivity and specificity of serum EPO levels below the reference range of normal for the diagnosis of PV (using the polycythemia vera study group criteria as the gold standard) were 64 and 92 to 99 percent, respectively. The sensitivity increased to 72 percent in patients who were tested on two occasions, as low serum EPO values were noted on a repeat study in some patients with normal levels on the initial examination. The serum EPO concentration remained low even when the red cell mass was normalized following phlebotomy. Accordingly, most of the newer diagnostic criteria for PV have included a low serum EPO level. |
JAK2 mutations
민감도 있는 검사를 시행하면 PV 환자의 95-100 %는 exon 14 또는 12에 JAK2 (Janus kinase 2) mutation을 갖고 있습니다.
WHO diagnostic criteria polycythemia vera
|
Major criteria |
|
1. Hemoglobin >16.5 g/dL in men |
|
Hemoglobin >16.0 g/dL in women |
|
or, |
|
Hematocrit >49% in men |
|
Hematocrit >48% in women |
|
or, |
|
Increased red cell mass* |
|
2. Bone marrow biopsy showing hypercellularity for age with trilineage growth (panmyelosis) including prominent erythroid, granulocytic, and megakaryocytic proliferation with pleomorphic, mature megakaryocytes (differences in size) |
|
3. Presence of JAK2 V617F or JAK2 exon 12 mutation |
|
Minor criterion |
|
Subnormal serum erythropoietin level |
|
Diagnosis of PV requires meeting either all 3 major criteria, or the first 2 major criteria and the minor criterion¶ |
MF: myelofibrosis; PV: polycythemia vera; WHO: World Health Organization
* More than 25% above mean normal predicted value.
¶ Criterion number 2 (bone marrow biopsy) may not be required in cases with sustained absolute erythrocytosis: hemoglobin levels >18.5 g/dL in men (hematocrit, 55.5%) or >16.5 g/dL in women (hematocrit, 49.5%) if major criterion 3 and the minor criterion are present. However, initial myelofibrosis (present in up to 20% of patients) can only be detected by performing a bone marrow biopsy; this finding may predict a more rapid progression to overt myelofibrosis (post-PV MF).
The 2016 revision to the World Health Organization classification of myeloid neoplasms and acute leukemia. Blood 2016; 127:2391
REF. UpToDate 2020.11.02