급성 세균성 부비동염이 의심되는 경우, 배양 검사를 보고 처방하지 않기 때문에 경험적 항생제로 아목시실린 또는 아목시실린-클라블라네이트를 처방합니다. Clavulanate(클라블라네이트)를 추가하는 것은 Moraxella catarrhalis뿐만 아니라 ampicillin-resistant Haemophilus influenzae에 대한 항균력을 증가시키기 위함입니다.
For most patients, we suggest initial empiric treatment with either amoxicillin(500 mg orally three times daily or 875 mg orally twice daily) or amoxicillin-clavulanate(500 mg/125 mg orally three times daily or 875 mg/125 mg orally twice daily). We treat patients with risk factors for resistance with high-dose amoxicillin-clavulanate.
아목시실린보다는 아목시실린-클라블라네이트 사용을 지지하는 증거는 성인보다는 소아에서 더 강력합니다. 소아에서 conjugated pneumococcal vaccination의 도입으로 S. pneumoniae로 인한 세균성 부비동염으 비율은 감소해 왔고 H. influenza의 비율은 증가했습니다.
The evidence to support the use of amoxicillin-clavulanate rather than amoxicillin is stronger in children than adults. However, there is increasing emergence of antimicrobial resistance among respiratory pathogens, including Streptococcus pneumoniae and H. influenzae. Resistance rates vary regionally, with the prevalence of H. influenzae resistance ranging from 27 to 43 percent in the United States. Additionally, the introduction of routine conjugated pneumococcal vaccination in children has changed the spectrum of bacterial infection. In both adults and children, the percentage of ABRS due to S. pneumoniae has decreased while the proportion due to H. influenzae has increased.
Suggested approach to observation versus antimicrobial therapy for outpatient treatment of uncomplicated ABRS in immunocompetent adults

ABRS: acute bacterial rhinosinusitis; ARS: acute rhinosinusitis.
* The diagnosis of ARS, which may be bacterial or viral, can be made clinically and requires the presence of purulent nasal discharge for <4 weeks and severe congestion and/or facial pain/pressure. The diagnosis of ABRS can also be made clinically and requires that symptoms be present for ≥10 days or that signs and symptoms of ARS initially improve but then worsen, typically over a 10-day time period ("double worsening"). For ABRS to be uncomplicated, there should be no evidence of extension of infection beyond the sinuses into the surrounding skin, soft tissue, bone, or central nervous system.
¶ Because a substantial number of patients with clinically diagnosed ABRS improve with supportive care alone, we generally provide symptomatic care and observe patients who can reliably return for follow-up or be in close contact with their providers if additional care is needed within the next seven days.
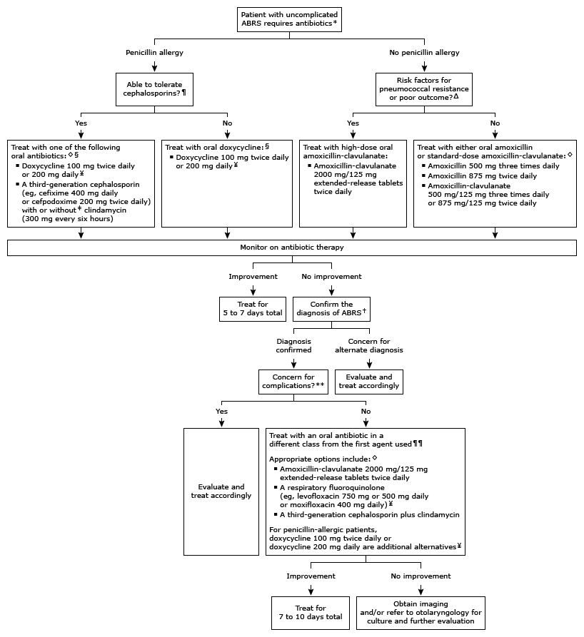
Suggested approach to empiric antimicrobial therapy for outpatient treatment of uncomplicated acute bacterial rhinosinusitis (ABRS) in immunocompetent adults

ABRS: acute bacterial rhinosinusitis.
* Indications for antibiotic therapy include lack of adequate follow-up, worsening symptoms during observation, and symptoms unchanged after seven days of observation. Refer to the UpToDate topic on treatment of uncomplicated acute sinusitis and rhinosinusitis in adults for details.
¶ Refer to the UpToDate topics on penicillin allergy and cephalosporin allergy.
Δ Risk factors for resistance or poor outcome include:
Living in geographic regions with rates of penicillin-nonsusceptible Streptococcus pneumoniae exceeding 10%
Age ≥65 years
Hospitalization in the last five days
Antibiotic use in the previous month
Immunocompromise
Multiple comorbidities (eg, diabetes or chronic cardiac, hepatic, or renal disease)
Severe infection (eg, evidence of systemic toxicity with temperature of ≥102°F).
◊ Selection among these agents depends on patient allergies (as above), comorbidities, potential adverse drug effects, likelihood of patient adherence, and other patient values and preferences.
§ A respiratory fluoroquinolone (eg, levofloxaxin 750 mg or 500 mg orally daily or moxifloxacin 400 mg orally daily) is an additional option for initial treatment but should be reserved for those who cannot tolerate other options as the serious adverse effects associated with fluoroquinolones generally outweigh the benefits for patients with acute rhinosinusitis.
¥ Doxycycline and fluoroquinolones should be avoided in pregnancy.
‡ The addition of clindamycin provides improved coverage for beta-lactam-resistant S. pneumoniae but carries increased risk of adverse effects (eg, Clostridioides [formerly Clostridium] difficile infection).
† The diagnosis of ABRS can be confirmed clinically. In patients in whom there are concerns for complications, imaging should be obtained. In other patients in whom symptoms are not completely consistent with ABRS, imaging is reasonable to rule out sinusitis and/or evaluation for alternative diagnosis.
** Signs and symptoms of complications include toxic appearance, altered mental status, neurologic deficits, and/or evidence of extension of infection into the surrounding skin, soft tissue, or bone. Refer to the UpToDate topics on the diagnosis of acute rhinosinusitis, deep neck space infections, and orbital cellulitis for additional detail.
¶¶ For patients who received a respiratory fluoroquinolone as initial therapy, antimicrobial resistance is unlikely to be the cause of treatment failure. We often pursue evaluation in such patients in place of or in addition to prescribing a second course of antibiotics.
Risk factors for pneumococcal resistance in patients with acute bacterial rhinosinusitis
|
Living in geographic regions with rates of penicillin-nonsusceptible S. pneumonia exceeding 10%* |
|
Age ≥65 years |
|
Hospitalization in the last five days |
|
Antibiotic use in the previous month |
|
Immunocompromise |
|
Multiple comorbidities (eg, diabetes or chronic cardiac, hepatic, or renal disease) |
|
Severe infection (eg, evidence of systemic toxicity with temperature of ≥102°F, threat of suppurative complications) |
* Local and regional histograms of bacterial resistance should be referenced to understand resistance trends in the local community
Ref. UpToDate 2019.06.18
'감염내과 > 상기도감염' 카테고리의 다른 글
| 급성 부비동염 치료에서 페니실린 알레르기가 있는 경우, Acute rhinosinusitis treatment in patients with penicillin allergy (0) | 2019.06.18 |
|---|---|
| Pneumococcal resistance 위험 인자가 있는 경우에 급성 세균성 부비동염의 치료 (0) | 2019.06.18 |
| 항히스타민/슈도에페드린, 불면증, Antihistamine/pseudoephedrine, insomnia (0) | 2019.03.29 |
| 백일해의 진단적 접근, Approach to diagnosis, pertussis (0) | 2019.03.29 |
| 백일해의 임상발현, Pertussis, clinical manifestations (0) | 2019.03.28 |